A. Pengertian Model Pembelajaran
Demontrasi
Model
pembelajaran demontrasi terdiri dari dua unsur yaitu model pembelajaran dan
demontrasi. Model pembelajaran adalah suatu
kerangka yang digunakan
sebagai pedoman dalam melaksanakan
pembelajaran untuk mencapai tujuan tertentu. Sedangkan demonstrasi
secara bahasa adalah mempertontonkan,
memperagakan, dan mempertunjukkan.
Dari
pengertian kedua unsur pembentuk tersebut maka model pembelajaran demontrasi dapat
diartikan sebagai suatu kerangka berfikir yang digunakan oleh guru sebagai
pedoman dalam melaksanakan pembelajaran dengan cara memperagakan,
mempertontonkan atau mempertunjukan suatu materi pembelajaran untuk mencapai
tujuan pembelajaran.
Terdapat beberapa pengertian dari para ahli tentang model pembelajaran demonstrasi yaitu:
1. Model demontrasi adalah model yang digunakan untuk
memperlihatkan sesuatu proses atau cara kerja suatu benda yang berkenaan dengan
bahan pelajaran (Online: Syaiful Bahri Djamarah, 2000)
2. Model demonstrasi adalah pertunjukan tentang proses terjadinya
suatu peristiwa atau benda sampai pada penampilan tingkah laku yang dicontohkan
agar dapat diketahui dan dipahami oleh peserta didik secara nyata atau
tiruannya (Online: Syaiful, 2008:210).
3.
Model demonstrasi adalah model mengajar dengan cara
memperagakan barang, kejadian, aturan, dan urutan melakukan suatu kegiatan,
baik secara langsung maupun melalui penggunaan media pengajaran yang relevan
dengan pokok bahasan atau materi yang sedang disajikan” (Online: Muhibbin Syah,
2000:22).
Dapat
disimpulkan bahwa model pembelajaran adalah cara mengajar seorang guru dalam
memberikan materi kepada siswa melalui suatu pertunjukan atau praktek dalam memahamkan materi kepada
siswa. Model demonstrasi akan memberikan kesempatan kepada siswa untuk
mengembangkan kemampuan mengamati segala benda yang sedang terlibat dalam
proses serta dapat mengambil kesimpulan-kesimpulan yang diharapkan.
B.
Fungsi, Tujuan dan Manfaat Model Pembelajaran
Demonstrasi
Seperti pada
model-model pembelajaran lainnya, model pembelajaran demonstrasi memiliki
dungsi, tujuan dan manfaat.
1.
Fungsi Model Pembelajaran Deminstrasi
Model pembelajaran demonstrasi memiliki
fungsi sebagai berikut:
a. Dapat
dipergunakan untuk memberikan ilustrasi dalam menjelaskan materi kepada siswa.
Model demonstrasi seyogyanya mampu
memberikan gambaran atau ilustrasi dari materi pembahasan. Demonstrasi akan
memberikan ilustrasi melalui praktek yang dilaksanakan dilapangan secara
bersama-sama.
b. Membantu
meningkatkan daya pikir siswa terutama daya pikir dalam meningkatkan
kemampuan mengenal, mengingat, berpikir konvergen dan berpikir evaluatif.
Dengan demonstrasi siswa akan memiliki
peningkatan daya pikirnya. Selain itu, siswa akan mengingat hal-hal penting
pada saat siswa melakukan praktek sehingga pembelajaran lebih bermakna.
2.
Tujuan Model Pembelajaran Demonstrasi
Tujuan model pembelajaran demonstrasi adalah
a.
Mengkongkretkan suatu konsep atau
prosedur yang abstrak.
Demonstrasi memiliki tujuan untuk mengkonkritkan hal yang abstrak. Seperti
yang sudah diketahui pada umumnya, bahwa matematika terkenal dengan
keabstrakannya, sehingga sering kali siswa dibuat pusing oleh matematika. Dengan
melakukan demonstrasi, siswa diharapkan mampu mendapatkan bentuk konkrit dari
kebastrakan matematika. Contohnya: pada pengenalan rumus luas bangun datar.
Siswa dapat mengkonkritkan rumus dengan membuat bangun datar tersebut dan
melakukan demonstrasi bersama-sama di kelas.
b.
Mengajarkan bagaimana berbuat atau
menggunakan prosedur dengan tepat.
Dalam melakukan demonstrasi terdapat langkah-langkah dalam melakukannya. Langkah-langkah
tersebut haruslah dilakukan secara prosedural. Jika tidak dilakukan sesuai
prosedur yang ada, maka demonstrasi akan gagal sehingga materi tidak
tersampaikan.
c.
Meyakinkan bahwa alat atau prosedur
tersebut dapat digunakan.
Demonstrasi membutuhkan alat dan bahan serta prosedur dalam pelaksanaannya.
Demonstrasi akan memberikan keyakinan kepada siswa bahwa dari alat dan bahan
serta prosedur yang dilakukan dapat membuktikan, mencari ataupun menghitung
rumus matematika yang sudah ada. Contohnya: mencari volume kerucut dengan
pendekatan volume tabung. Pada demonstrasi volume kerucut, siswa akan memahami
bahwa dengan menggunakan kertas dan prosedur yang ada akan membuktikan rumus
volume kerucut. Dengan volume tabung telah diberikan sebelumnya.
d.
Membangkitkan minat menggunakan alat dan
prosedur.
Penggunaan alat dan prosedur dalam demonstrasi akan membangkitkan minat
siswa dalam melakukan prosedur secara terurut. Hal ini akan sanagt bermanfaat
pada pembelajaran matematika. Ditinjau dari segi keilmuannya, matematika
merupakan ilmu pengetahuan yang membutuhkan prosedur dalam pengerjaannya
sehingga akan didapatkan suatu hasil yang diinginkan.
3. Manfaat
Model Pembelajaran Demonstrasi
Menurut Daradjat (online: 1985) manfaat
psikologis dari model demonstrasi adalah :
a.
Perhatian
siswa dapat lebih dipusatkan .
b.
Proses belajar
siswa lebih terarah pada materi yang sedang dipelajari.
c.
Pengalaman
dan kesan sebagai hasil pembelajaran lebih melekat dalam diri siswa.
C.
Kelebihan dan Kekurangan Model Pembelajaran
Demonstrasi
Menurut Syaiful
Bahri Djamarah (2008:211) kelebihan dan kekurangan model demonstrasi adalah
sebagai berikut :
1.
Kelebihan dari model pembelajaran demonstrasi
Model pembelajaran demonstrasi memiliki beberapa kelebihan,
diantaranya adalah:
a.
Perhatian siswa dapat
dipusatkan pada hal-hal yang dianggap penting oleh guru sehingg hal yang
penting itu dapat diamati secara teliti. Di samping itu, perhatian siswa pun
lebih mudah dipusatkan kepada proses belajar mengajar dan tidak kepada yang
lainya.
b.
Dapat membimbing siswa ke
arah berpikir yang sama dalam satu saluran pikiran yang sama.
c.
Ekonomis dalam jam pelajaran
di sekolah dan ekonomis dalam waktu yang panjang dapat diperlihatkan melalui
demonstrasi dengan waktu yang pendek.
d.
Dapat mengurangi
kesalahan-kesalahn bila dibandingkan dengan hanya membaca atau mendengarkan,
karena siswa mendapatkan gambaan yang jelas dari hasil pengamatannya.
e.
Karena gerakan dan proses
dipertunjukan maka tidak memerlukan keterangan-keterangan yang banyak
f.
Beberapa persoalan yang
menimbulkan petanyaan atau keraguan dapat diperjelas waktu proses demonstrasi.
2.
Kekurangan dari model pembelajaran demonstrasi
Model pembelajaran demonstrasi memiliki beberapa kekurangan
diantaranya adalah:
a. Derajat visibilitasnya kurang, siswa tidak dapat melihat atau
mengamati keseluruhan benda atau peristiwa yang didemonstrasikan kadang-kadang
terjadi perubahan yang tidak terkontrol.
b. Untuk mengadakan demonstrasi digunakan ala-alat yang khusus,
kadang-kadang alat itu susah didapat. Demonstrasi merupakan model yang tidak
wajar bila alat yang didemonstrasikan tidak dapat diamati secara seksama.
c. Dalam mengadakan pengamatan terhadap hal-hal yang didemonstrasikan
diperlukan pemusatan perhatian. Dalam hal ini banyak diabaikan oleh siswa.
d. Tidak semua hal dapat didemonstrasikan di kelas.
e. Memerlukan banyak waktu sedangkan hasilnya kadang-kadang sangat
minimum.
f. Kadang-kadang hal yang didemonstrasikan di kelas akan berbeda jika
proses itu didemonstrasikan dalam situasi nyata atau sebenarnya.
g. Agar demonstrasi mendapatkan hasil yang baik diperlukan ketelitian
dan kesabaran.
D.
Langkah-Langkah Model Pembelajaran
Demonstrasi
Menurut Hasibuan dan
Mujiono (1993: 31) dalam sebuah situs online dijelaskan langkah-langkah model
pembelajaran demonstrasi adalah sebagai berikut:
1.
Merumuskan
dengan jelas kecakapan dan atau keterampilan apa yang diharapkan dicapai oleh
siswa sesudah demonstrasi itu dilakukan.
2.
Mempertimbangkan
dengan sungguh-sungguh, apakah model itu wajar dipergunakan, dan apakah ia
merupakan model yang paling efektif untuk mencapai tujuan yang dirumuskan.
3.
Alat-alat
yang diperlukan untuk demonstrasi itu bisa didapat dengan mudah, dan sudah
dicoba terlebih dahulu supaya waktu diadakan demonstrasi tidak gagal.
4.
Jumlah
siswa memungkinkan untuk diadakan demonstrasi dengan jelas.
5.
Menetapkan
garis-garis besar langkah-langkah yang akan dilaksanakan, sebaiknya
sebelum demonstrasi dilakukan, sudah dicoba terlebih dahulu supaya tidak gagal
pada waktunya.
6.
Memperhitungkan
waktu yang dibutuhkan, apakah tersedia waktu untuk memberi kesempatan kepada
siswa mengajukan pertanyaan-pertanyaan dan komentar selama dan sesudah
demonstrasi.
7.
Selama
demonstrasi berlangsung, hal-hal yang harus diperhatikan:
a.
Keterangan-keterangan
dapat didengar dengan jelas oleh siswa.
b.
Alat-alat
telah ditempatkan pada posisi yang baik, sehingga setiap siswa dapat melihat
dengan jelas.
c.
Telah
disarankan kepada siswa untuk membuat catatan-catatan seperlunya.
8. Menetapkan rencana untuk menilai
kemajuan siswa. Sering perlu diadakan diskusi sesudah demonstrasi berlangsung
atau siswa mencoba melakukan demonstrasi.
Adapun
beberapa prosedur model pembelajaran demonstrasi yang harus dilakukan dalam
pembelajaran adalah :
1. Mempersiapkan
alat bantu yang akan digunakan dalam pembelajaran.
2. Memberikan
penjelasan tentang topik yang akan didemonstrasikan.
3. Pelaksanaan
demonstrsi bersamaan dengan perhatian dan peniruan dari siswa.
4.
Penguatan (diskusi, tanya jawab dan atau
latihan) terhadap hasil demonstrasi
5.
Kesimpulan
E. Aplikasi
Model Pembelajaran Demonstrasi dalam Mata Pelajaran Matematika
Model
pembelajaran demonstrasi tidak dapat diterapkan kepada seluruh materi pelajaran
matematika. Hanya beberapa pokok bahasan materi yang dapat dilakukan melalui
model pembelajaran demonstrasi. Materi matematika yang dapat disampaikan melalui
model pembelajaran demonstrasi diantaranya adalah: mencari dan membuktikan
volume bangun ruang, mengenal sifat-sifat bidang datar, mencari dan membuktikan
luas bangun datar, deret hitung bilangan bulat, jaring-jaring bangun ruang dan
bangun datar.
Dalam
makalah ini akan dibahas penerapan model pembelajaran demonstrasi pada materi
volume kerucut dengan pendekatan volume tabung. Pada kegiatan demontrasi ini
siswa akan melakukan praktek membuktikan volume tabung sama dengan tiga kali
volume kerucut.
Prodsedur
demonstrasi:
1.
Setiap
siswa dibentuk kelompok 3-5 orang tujuannya agar setiap siswa dapat bekerja
sama dan saling membantu antar anggota kelompok.
2. Persiapkan
alat dan bahan yang dibutuhkan.
Alat
yang dibutuhkan:
·
Sebuah kerucut terbuat dari kertas
·
Sebuah tabung yang terbuat dari kertas
·
Beras
Ketentuan : Tinggi kerucut = tinggi tabung
Diameter kerucut = diameter tabung
Luas
alas kerucut = luas alas tabung
Bahan yang dibutuhkan:
·
Beberapa lembar kertas karton
·
Penggaris
·
Jangka
·
Pensil
·
Penghapus
·
Lem
·
Gunting
·
Kertas laporan
3. Memberikan
penjelasan tentang topik yang akan didemonstrasikan
Topik :
Mencari
Rumus Volume Kerucut.
Penjelasan :
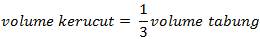
Rumus
volume kerucut didapat dari pendekatan volume tabung.
Ketentuan,
tinggi tabung sama dengan tinggi kerucut, diameter dan luas alas kerucut sama
dengan luas alas tabung.
Volume
tabung sudah diketahui yaitu .
4. Pelaksanaan
demonstrsi bersamaan dengan perhatian dan peniruan dari siswa.
Langkah
kerja:
·
Bagi siswa menjadi beberapa kelompok,
dengan ketentuan anggota kelompok 3-5 orang.
·
Buatlah sebuah tabung dan kerucut dengan
membuat jaring-jaring tabung dan kerucut terlebih dahulu
Jaring-jaring Tabung
Jaring-jaring kerucut
· Siapkan kerucut dan tabung yang
memiliki tinggi, luas alas yang sama.
·
Siapkan pula beras sebagai media yang
akan membuktikan rumus.
·
Tuangkan beras pada kerucut sampai
kerucut penuh.
· Setelah itu, tuangkan
beras yang ada pada kerucut ke dalam tabung.
·
Lakukan hal yang berulang hingga tabung
terisi penuh oleh beras.
·
Kegiatan menuangkan beras terjadi
sebanyak tiga kali penuangan dari kerucut ke dalam tabung.
·
Hasil penelitian:
Dengan:
Sehingga:
5.
Penguatan (diskusi, tanya jawab, dan
atau latihan) terhadap hasil demonstrasi.
Latihan soal:
Jika suatu tabung memiliki diameter 14
cm dan tinggi 10 cm. Maka berapakah volume kerucut?'
Jawab:
Maka
6.
Kesimpulan
Dari kegiatan demonstrasi dapat
disimpulkan bahwa:
-----------------------------------------------------------------------------------------------------------------------DAFTAR
PUSTARA
Binham.
2012. Model Pembelajaran Demonstrasi.
[Online]. Tersedia: http://binham.wordpress.com/2012/04/25/model-pembelajaran-demonstrasi/ [21 April 2013]
Ginanjar,
Anjar. 2013. Model Pembelajaran –
Demonstrasi. [Online]. Tersedia: http://aginista.blogspot.com/2013/01/model-pembelajaran-demonstrasi.html
[22 April 2013]
Karwapi,
Muhammad. 2012. Prosedur Pelaksanaan Model Demonstrasi
dalam Pelaksanaan Pembelajaran Di Kelas Demi Tercapainya
Tujuan Pembelajaran. [Online].
Tersedia: http://karwapi.wordpress.com/2012/11/25/prosedur-pelaksanaan-model-demonstrasi-dalam-pelaksanaan-pembelajaran-di-kelas-demi-tercapainya-tujuan-pembelajaran/ [22 April
2013]
Love Indonesia. 2010. Model Pembelajaran Demonstrasi Untuk Usia 3-4 Tahun Mengembangkan Prilaku dan Kemampuan Dasar Anak. [Online]. Tersedia: http://silahkanngintip.blogspot.com/2010/11/model-pembelajaran-demonstrasi-untuk.html [22 April 2013]
Love Indonesia. 2010. Model Pembelajaran Demonstrasi Untuk Usia 3-4 Tahun Mengembangkan Prilaku dan Kemampuan Dasar Anak. [Online]. Tersedia: http://silahkanngintip.blogspot.com/2010/11/model-pembelajaran-demonstrasi-untuk.html [22 April 2013]
Riadi,
Muchlisin. 2012. Model Demonstrasi dalam
Belajar. [Online]. Tersedia: http://www.kajianpustaka.com/2012/10/model-demonstrasi-dalam-belajar.html#.UW6NraLwljY\ [17 April 2013]
Tim Redaksi KBBI. 2007.Kamus Besar Bahasa Indonesia, Jakarta: Balai Pustaka.
Tim Redaksi KBBI. 2007.Kamus Besar Bahasa Indonesia, Jakarta: Balai Pustaka.
Weblogask.
2012. Model Pembelajaran Demonstrasi.
[Online]. Tersedia: http://weblogask.blogspot.com/2012/09/model-pembelajaran-demonstrasi.html
[17 April 2013]




























0 komentar:
Posting Komentar